2,5-二氯甲酸

結構式
| 物競編號 | 0146 |
|---|---|
| 分子式 | c7h4cl2o2 |
| 分子量 | 191 |
| 標簽 |
2,5-二氯安息香酸, 農藥中簡體;脂肪族羧酸及其衍生物 |
編號系統
cas號:50-79-3
mdl號:mfcd00002416
einecs號:200-065-7
rtecs號:dg6825000
brn號:973353
pubchem號:24848693
物性數據
1. 性狀:白色針狀結晶粉末。在蒸氣中有部分揮發。
2. 密度(g/ml,25/4℃):未確定
3. 相對蒸汽密度(g/ml,空氣=1):未確定
4. 熔點(oc):154.4°c(lit.)
5. 沸點(oc,常壓):301 °c(lit.)
6. 沸點(oc, 5.2 kpa):未確定
7. 折射率:未確定
8. 閃點(oc):300-302°c
9. 比旋光度(o):未確定
10. 自燃點或引燃溫度(oc):未確定
11. 蒸氣壓(kpa,25 oc):未確定
12. 飽和蒸氣壓(kpa,60 oc):未確定
13. 燃燒熱(kj/mol):未確定
14. 臨界溫度(oc):未確定
15. 臨界壓力(kpa):未確定
16. 油水(辛醇/水)分配系數的對數值:未確定
17. 爆炸上限(%,v/v):未確定
18. 爆炸下限(%,v/v):未確定
19. 溶解性:溶于乙醇和,可溶于熱水(<0.1 g/100 ml at 19 oc)。
毒理學數據
1、急性毒性:小鼠皮下ld50:1200mg/kg;小鼠腹腔ld50:237mg/kg2、致突變性:突變測試系統-而不是其他specifiedtest系統:細菌-鼠傷寒沙門氏菌:1mg/l
生態學數據
暫無
分子結構數據
暫無
計算化學數據
1.疏水參數計算參考值(xlogp):無
2.氫鍵供體數量:1
3.氫鍵受體數量:2
4.可旋轉化學鍵數量:1
5.互變異構體數量:無
6.拓撲分子極性表面積37.3
7.重原子數量:11
8.表面電荷:0
9.復雜度:161
10.同位素原子數量:0
11.確定原子立構中心數量:0
12.不確定原子立構中心數量:0
13.確定化學鍵立構中心數量:0
14.不確定化學鍵立構中心數量:0
15.共價鍵單元數量:1
性質與穩定性
暫無
貯存方法
本品密封避光干燥保存。按有毒化學品的規定貯運。
合成方法
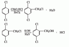
1.光氣法 由對二氯與光氣反應得2,5-二氯甲酰氯,再經水解而得。
2.氯甲基化法由對二氯與多聚甲醛作用,再經高錳酸鉀氧化而得。對二氯的氯甲基化收率為53.4%,第三步氧化反應的收率為83%


3.三氯法以1,2,4-三氯為原料,制成2,5-二氯腈后再經堿解而得。
4.甲酰氯法由甲酰氯經氯化、水解而得。甲酰氯的氯化溫度控制在35-45℃之間,得到的氯化物主要成分為2,5-二氯甲酰氯(含量65%),再在存在濃的條件下,于40-50℃水解。
5.對二氯四氯化碳法。

用途
作有機合成中間體。用于合成除草劑豆科威、地草平等,該農藥藥害少,不受雨天影響。
擴展閱讀https://www.newtopchem.com/archives/44674擴展閱讀https://www.newtopchem.com/archives/1864擴展閱讀https://www.newtopchem.com/archives/787擴展閱讀https://www.cyclohexylamine.net/dabco-bl-17-niax-a-107-jeffcat-zf-54/擴展閱讀https://www.cyclohexylamine.net/polyurethane-tertiary-amine-catalyst-catalyst-25-s/擴展閱讀https://www.cyclohexylamine.net/cas-1067-33-0-dibutyl-tin-diacetate/擴展閱讀https://www.newtopchem.com/archives/category/products/page/173擴展閱讀https://www.cyclohexylamine.net/dabco-33-lsi/擴展閱讀https://www.bdmaee.net/niax-ef-712-low-emission-tertiary-amine-catalyst-/擴展閱讀https://www.newtopchem.com/archives/44944

